W11—12×2000機械卷板機機器的主要結構與工作原理
3-1、本機為對稱型彎板機,通過上輥的下壓和上、下輥的對滾來完成筒形工件的卷制。如圖3-1所示
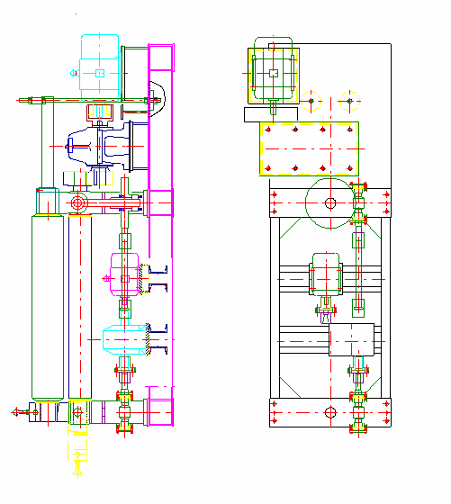
3-2、本機是由在焊接的整體底盤上的工作部分和傳動部分這兩大部分組成。工作部分由左、右輥子軸承座、一根上輥、二根下輥、升降絲桿蝸輪副以及一些輔助零件組成。下輥是主動輥,上輥可以沿著高度方向上下調節,傳動部分由主電機、主減速電機及其他輔助零件組成。
3-3、下輥的傳動是由主電機通過主減速機實現的,主減速機輸出軸通過一組齒輪傳動到兩下輥,輥子傳動方向的變換由主電機換向而獲得。
3-4、上輥升降運動的實現,是由輔助電機通過輔助減速機帶動左、右輥子軸承座下面的蝸桿、蝸輪機構運動,使固定在蝸輪上的絲母旋轉,從而使升降絲桿上下移動來完成的。如圖(3-4)
( 3-4)支架裝配圖Bracket Assembly Graphics
3-5、卸板裝置是用來當圓筒件卷制完成后,在脫開左軸承即可傾軸承座之前,上輥先上升到位,在上輥尾端用平衡拉桿拉住上輥,然后將可傾軸承座上銷軸抽出,翻倒可傾軸承座,卷制完成的工件可以從上輥的一端脫出。
3-6、主要零部件說明:三根輥子為45鋼鍛件,HRC35-45,支架為焊接件,焊后加工,底盤為焊接件,升降絲桿、蝸桿為45鋼鍛件。
3-7、電氣部分,采用正泰電器,動作穩定,壽命長,安全可靠,操作方便。
- 上一篇:W11—12×2000機械卷板機的機器如何潤滑 2015/10/15
- 下一篇:W11—12×2000機械卷板機機器的主要規格與技術參數 2015/10/15

